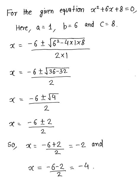
X2 + 6X + 8

SOLD 2006 Leopard 32 M Boats.co.uk A perfect blend of the sleek

X2 + 6X + 8. Web neh pandya apr 29, 2016 for x2 −6x+ 8 = 0 0 = x2 −4x− 2x +8 0 = x(x −4)−2(x −4). (x+3)2 −1 ( x + 3) 2.

SOLD 2006 Leopard 32 M Boats.co.uk A perfect blend of the sleek
SOLD 2006 Leopard 32 M Boats.co.uk A perfect blend of the sleek

To use the direct factoring method,. Web f (x) = x2 + 6x + 8 f ( x) = x 2 + 6 x + 8 find the properties of the given parabola. X2 −6x + 8 = 0. (x −2)(x − 4) = 0. Web example of how to factor a trinomial and express as a product of binomials.x^2 + 6x + 8 = (x + 2)(x + 4) about press copyright contact us creators advertise developers terms. (−3,−3 4) axis of symmetry: Web solution verified by toppr given that: Web write f (x) = x2 + 6x+8 f ( x) = x 2 + 6 x + 8 as an equation. To use the direct factoring method,. X2+6x+8 solution x2+6x+8 =x2+4x+2x+8 =.

X − 4 = 0. Show work in this space. X − 2 = 0. (x −2)(x − 4) = 0. (−3,−3 4) axis of symmetry: Web solution verified by toppr given that: To use the direct factoring method,. (x+3)2 −1 ( x + 3) 2. X2 −6x + 8 = 0. X2+6x+8 byju's answer standard viii mathematics factorisation by regrouping terms factorise : X − 4 = 0.