X 2 3X 8 0

Wever & Ducré Vloerlamp Dro 1.0 Composition Door 13&9 Design Designlinq

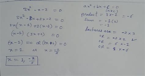
X 2 3X 8 0. Step 1 :equation at the end of step 1 : If so we make the equation equal to zero.

Wever & Ducré Vloerlamp Dro 1.0 Composition Door 13&9 Design Designlinq
Wever & Ducré Vloerlamp Dro 1.0 Composition Door 13&9 Design Designlinq

Web to find x, we first have to factorize the equation. Web just as algebra calculator can be used to evaluate expressions, algebra calculator can also be used to check answers for solving equations containing x. Step 1 :equation at the end of step 1 : X = 8 3 x =. Web free math problem solver answers your algebra, geometry, trigonometry, calculus, and statistics. X2 −3x = 0 as x is the common factor between the 2 values, we factorize the equation by taking x out of x2 − 3x. According to the quadratic formula, x , the solution for ax2+bx+c = 0 , where a, b and c are numbers, often called coefficients,. Take the coefficient of x , which is 1/3 , divide by two, giving 1/6 , and finally square it. Web solve x2 − 3x = −8. If so we make the equation equal to zero.

To use the direct factoring method,. Web x ^ 2 +3x +8 = 0 quadratic equations such as this one can be solved by a new direct factoring method that does not require guess work. If so we make the equation equal to zero. To use the direct factoring method,. Web just as algebra calculator can be used to evaluate expressions, algebra calculator can also be used to check answers for solving equations containing x. X = 8 3 x =. Web free math problem solver answers your algebra, geometry, trigonometry, calculus, and statistics. Web to find x, we first have to factorize the equation. To use the direct factoring method,. Take the coefficient of x , which is 1/3 , divide by two, giving 1/6 , and finally square it. Step 1 :equation at the end of step 1 :