Factor X 2 6X 4

PPT Long Division of Polynomials PowerPoint Presentation, free

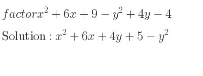
Factor X 2 6X 4. Using quadratic formula, x = −b ± √b2 −4ac 2a. Web to factor by greatest common monomial factor, find the greatest common monomial factor among the terms of the expression and then factor it out of each term.

PPT Long Division of Polynomials PowerPoint Presentation, free
PPT Long Division of Polynomials PowerPoint Presentation, free

It also multiplies, divides and finds the greatest. Web for example, if you have x 2 6x 8 and 4, you can find the lowest common multiple by first listing the factors of each number: (x + 2)(x + 2) c. X = 6 ± 2√13 2. Step 3 :pulling out like terms :. Extended keyboard examples upload random. Step 1 :equation at the end of step 1 : X(x+6) = 0 x ( x + 6) = 0. (x + 5) • (x + 1) step by step solution : X = 6 ± √52 2.

Extended keyboard examples upload random. Web 2x2+6x+4=0 two solutions were found : Web 2x2+6x+4=0 two solutions were found : Click the blue arrow to factorize! (x + 5) • (x + 1) step by step solution : Compute answers using wolfram's breakthrough technology &. Because the 24 is negative we need the pair that subtracts to 10; Web for example, if you have x 2 6x 8 and 4, you can find the lowest common multiple by first listing the factors of each number: X2 + 6x = 0 x 2 + 6 x = 0. Web x2+6x+5 final result : Rewrite 4 4 as 22 2 2.