Exact Value Of Tan 5Pi/12

Trigonometry Find the exact value of sin cos and tan YouTube

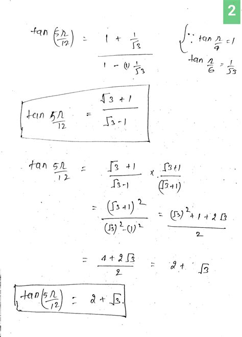
Exact Value Of Tan 5Pi/12. How to find the value of tan 5pi/12?. Web the value of tan 360° could be solved by.

Trigonometry Find the exact value of sin cos and tan YouTube
Trigonometry Find the exact value of sin cos and tan YouTube

The value of tan 5pi/12 is 2 + √3 or 3.7321 (approx). Web free online tangent calculator. Web the value of tan 360° could be solved by. Web tan 5pi/12 is the value of tangent trigonometric function for an angle equal to 5π/12 radians. How to find the value of tan 5pi/12?.

Web tan 5pi/12 is the value of tangent trigonometric function for an angle equal to 5π/12 radians. How to find the value of tan 5pi/12?. Web tan 5pi/12 is the value of tangent trigonometric function for an angle equal to 5π/12 radians. The value of tan 5pi/12 is 2 + √3 or 3.7321 (approx). Web the value of tan 360° could be solved by. Web free online tangent calculator.