Electron Configuration Of Sn4+

Finish the Electron Configuration for Chlorine 1s22s22p63s2

Electron Configuration Of Sn4+. Web what is the electron configuration for sn4+? Web electron configurations describe where electrons are located around the nucleus of an atom.

Finish the Electron Configuration for Chlorine 1s22s22p63s2
Finish the Electron Configuration for Chlorine 1s22s22p63s2

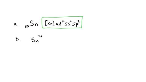
Take out the electrons with higher energy level, but with one exception: Here, the electron configuration of tin ion(sn2+) is 1s2 2s2 2p6 3s2 3p6 3d10 4s2 4p6 4d10 5s2. Web the electron configuration for tin is 1s22s22p63s23p64s23d104p65s24d105p2. Web the electron configuration of sn4+, 1s22s22p63s23p64s23d104p64d10, results from the loss of two electrons from 5p and two electrons from 5s. Web the electron configuration of tin ion(sn 4+) is 1s 2 2s 2 2p 6 3s 2 3p 6 3d 10 4s 2 4p 6 4d 10. On the other hand, the tin. Under what conditions does this reaction take place? Find more answers ask your question continue learning about. Web electron configurations describe where electrons are located around the nucleus of an atom. Web what is the electron configuration for sn4+?

Two electrons from 5p and two. Web the electron configuration for tin is 1s22s22p63s23p64s23d104p65s24d105p2. What are the electron configurations for the following ions: Web which electron configuration is correct for sn4+? 1) electron configuration, number of electrons. Which electrons are lost in the formation of the sn4+ cation? Web electron configurations describe where electrons are located around the nucleus of an atom. Radiative transitions from the autoionizing states of sn 4 + are. For example, the electron configuration of lithium, 1s²2s¹, tells us that lithium has. Take out the electrons with higher energy level, but with one exception: Web the electron configuration of sn4+, 1s22s22p63s23p64s23d104p64d10, results from the loss of two electrons from 5p and two electrons from 5s.