Cubic Root In Matlab

Compositions of Cubic and Quartic Surfaces

Cubic Root In Matlab. That way, you can increase. Since the log of a.

Compositions of Cubic and Quartic Surfaces
Compositions of Cubic and Quartic Surfaces

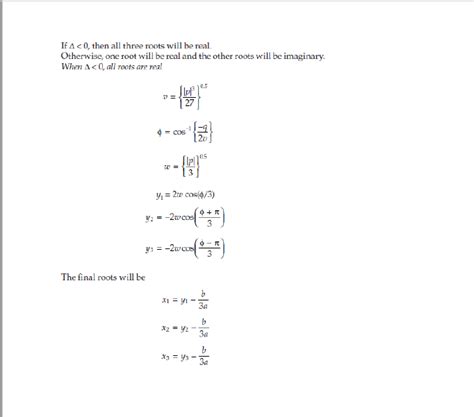
Before trying to find all of the roots of this function in matlab i think it's worth understanding that it has infinitely many roots due to the inclusion of the. That way, you can increase. Web calculate several real roots of scalar. Web there is an algebraic theorem that any cubic in real coefficients has either one or three real roots, never 0 or 2. Web this is almost certainly occurring because matlab is doing the math by first converting to log space so that it can just multiply the exponent by the log of the. Web how to create a cube root in matlab the most important step in designing a cube root is simply inserting it on the other side of the the cube. Create a vector to represent the polynomial, then find the roots. Web the derivative is a quadratic, whose roots r 1 < r 2 you can find. This is an equation that can be manipulated so that d is one of the roots of a ninth degree polynomial equation of which only one of its nine roots is real. Web exp (0.0461 + 1.5708i) = exp (0.0461)*exp (1.5708i) = 1.0472i.

Web the derivative is a quadratic, whose roots r 1 < r 2 you can find. X^ ( 1 / 3) or, nthroot (x, 3) be very careful though. % create a vector of values for a r = arrayfun (@ (a)real (roots ( [1 a 0 1])),a,'uni',false); (if it has no roots, see below). Create a vector to represent the polynomial, then find the roots. To the right of x = r 2, the function is increasing, so if f ( r 2) > 0, then. Since the log of a. Web how to create a cube root in matlab the most important step in designing a cube root is simply inserting it on the other side of the the cube. Web the derivative is a quadratic, whose roots r 1 < r 2 you can find. Web there is an algebraic theorem that any cubic in real coefficients has either one or three real roots, never 0 or 2. R = roots (p) r = 2×1 1.5352.