2X Divided By X

Original Nilla Wafer Banana Pudding Frugal Hausfrau

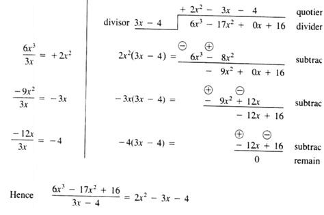
2X Divided By X. So we have x minus 2 being divided into x squared minus 3x plus 2. Multiply the new quotient term by the divisor.

Original Nilla Wafer Banana Pudding Frugal Hausfrau
Original Nilla Wafer Banana Pudding Frugal Hausfrau

Click the blue arrow to submit and see your result! The simplification calculator allows you to take a simple or complex expression and simplify and reduce the expression to it's simplest form. Put 32, the divisor, on the outside of the bracket. So we're going to divide this into that. Enter the expression you want to evaluate. Calculus examples popular problems calculus simplify (sin(2x))/(sin(x)) i am unable to solve this problem. You can ignore the remainder for now. The calculator works for both numbers and expressions containing variables. Divide x squared minus 3x plus 2 divided by x minus 2. Calculate the ph of a solution of 0.157 m pyridine.

You can also add, subtraction, multiply, and divide and complete any arithmetic you need. The polynomial division calculator allows you to take a simple or complex expression and find the quotient and remainder instantly. Web given a general quadratic equation of the form ax²+bx+c=0 with x representing an unknown, with a, b and c representing constants, and with a ≠ 0, the quadratic formula is: Multiply the new quotient term by the divisor. Exex ex e x e x e x. Calculus examples popular problems calculus simplify (sin(2x))/(sin(x)) i am unable to solve this problem. And we can do this really the same way that you first learned long division. Web simplify (e^ (2x))/ (e^x) e2x ex e 2 x e x. Divide x squared minus 3x plus 2 divided by x minus 2. Calculate the ph of a solution of 0.157 m pyridine.? So we're going to divide this into that.