2X 2 9X 4

Official Girls Picture Posting Thread Wrestling Forum

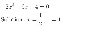
2X 2 9X 4. Graph functions, plot points, visualize algebraic equations, add sliders, animate graphs, and more. Web 2x2+9x+4=0 two solutions were found :

Official Girls Picture Posting Thread Wrestling Forum
Official Girls Picture Posting Thread Wrestling Forum

X = 1/2 = 0.500 x = 4 step by step solution : (2x2 + 9x) + 4 = 0 step 2 :trying to factor by splitting. Graph functions, plot points, visualize algebraic equations, add sliders, animate graphs, and more. Web x2 − 2x + 1 = 3x − 5 get chegg math solver $9.95 per month (cancel anytime). Note that 2 ⋅ 4 = 8 = 8 ⋅ 1, and that we may write 9 = 8 +1, which. Step 1 :equation at the end of step 1 : Web explore math with our beautiful, free online graphing calculator. Step 1 :equation at the end of step 1 : Web 2つの箱a.bがある。aには赤球5個と自球3個が、bには赤球4個と自球6個が入っている.a から無作為に1個取り出してbに入れ、その後bから無作為に1個取り出す。 このとき,bから取り出した球が赤球である確率を求めよ。 この問題の解説をお願いします。 Web how do you factor 2x2 + 9x + 4?

Note that 2 ⋅ 4 = 8 = 8 ⋅ 1, and that we may write 9 = 8 +1, which. Step 1 :equation at the end of step 1 : Algebra polynomials and factoring factoring completely 1 answer sudip sinha aug 8, 2015 (2x +1)(x +4) explanation: Web if x is a number such that x^2 4x + 3 < 0 and 2x^2 9x + 10 < 0 [ #permalink ] thu feb 09, 2023 10:40 am. Note that 2 ⋅ 4 = 8 = 8 ⋅ 1, and that we may write 9 = 8 +1, which. Web 2つの箱a.bがある。aには赤球5個と自球3個が、bには赤球4個と自球6個が入っている.a から無作為に1個取り出してbに入れ、その後bから無作為に1個取り出す。 このとき,bから取り出した球が赤球である確率を求めよ。 この問題の解説をお願いします。 Web how do you factor 2x2 + 9x + 4? Web 2x2+9x+4=0 two solutions were found : See details example math equations: The idea is to break down the middle term into two monomials which can be used in the factorisation process. (2x2 + 9x) + 4 = 0 step 2 :trying to factor by splitting.