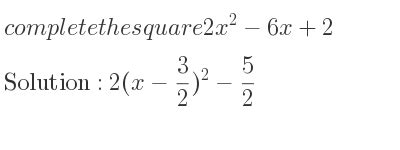
2X 2 6X 2

Free isometric plantspack

2X 2 6X 2. To use the direct factoring method,. Step 3 :pulling out like terms :

Free isometric plantspack
Free isometric plantspack

To use the direct factoring method,. Step 3 :pulling out like terms : Step 1 :equation at the end of step 1 : Web complete the square 2x^2+6x+2 equations basic (linear) solve for quadratic solve by factoring completing the square quadratic formula rational biquadratic polynomial.

To use the direct factoring method,. Web complete the square 2x^2+6x+2 equations basic (linear) solve for quadratic solve by factoring completing the square quadratic formula rational biquadratic polynomial. Step 3 :pulling out like terms : To use the direct factoring method,. Step 1 :equation at the end of step 1 :